全国2010年4月高等教育自学考试概率论与数理统计
全国2010年4月高等教育自学考试概率论与数理统计(二)试题课程代码:02197
一、单项选择题(本大题共10小题,每小题2分,共20分)
在每小题列出的四个备选项中只有一个是符合题目要求的,请将其代码填写在题后的括号内.错选、多选或未选均无分.
1.设A与B是任意两个互不相容事件,则下列结论中正确的是( )
A. P(A)=1-P(B)
B. P(A-B)=P(B)
C. P(AB)=P(A)P(B)
D. P(A-B)=P(A)
2.设A,B为两个随机事件,且
( )A. 1
B. P(A)
C. P(B)
D. P(AB)
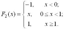
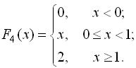
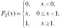
3.下列函数中可作为随机变量分布函数的是( )
A.
B.

C.
D.

4.设离散型随机变量X的分布律为

则
( )A.0.3
B.0.4
C.0.6
D.0.7
5.设二维随机变量(X,Y)的分布律为( )

且X与Y相互独立,则下列结论正确的是
A.a=0.2,b=0.6
B.a=-0.1,b=0.9
C.a=0.4,b=0.4
D.a=0.6,b=0.2
6.设二维随机变量(X,Y)的概率密度为

则P{0>X<1,0<Y<1}=( )
A.
B.

C.
D.1
7.设随机变量X服从参数为
A.
B.

C.2
D.4
8.设随机变量X与Y相互独立,且X~N(0,9),Y~N(0,1),令Z=X-2Y,则D(Z)=( )
A.5
B.7
C.11
D.13
9.设(X,Y)为二维随机变量,且D(X)>0,D(Y)>0,则下列等式成立的是( )
A.E(XY)=E(X)·E(Y)
B.Cov

C. D(X+Y)=D(X)+D(Y)
D.Cov(2X,2Y)=2Cov(X,Y)
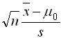
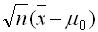
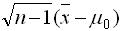
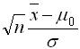
10.设总体X服从正态分布N(
),其中
未知,x1,x2,…,x n为来自该总体的样本,
为样本均值,s为样本标准差,欲检验假设
,则检验统计量为( )A.
B.

C.
D.

[1]
