全国2007年10月高等教育自学考试自动控制理论(
全国2007年10月高等教育自学考试
自动控制理论(二)试题
课程代码:02306
一、单项选择题(本大题共15小题,每小题2分,共30分)
在每小题列出的四个备选项中只有一个是符合题目要求的,请将其代码填写在题后的括号内.错选、多选或未选均无分.
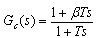
1.对超前校正装置
,当φm=38°时,β值为( )
A.2.5
B.3
C.4.17
D.5
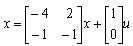
2.若系统的状态方程为
,则系统的特征根为( )
A.s1=-2,s2=-3
B.s1=-2,s2=1
C.s1=-4,s2=-1
D.s1=-2,s2=-1
3.决定系统传递函数的是系统的( )
A.结构
B.参数
C.输入信号
D.结构和参数
4.终值定理的数学表达式为( )
A.
B.
C.
D.
5.梅森公式为( )
A.
B.
C.
D.
6.斜坡输入函数r(t)的定义是( )
A.
B.
C.
D.
7.一阶系统
的时间常数T越小,则系统的响应曲线达到稳态值的时间( )
A.越短
B.越长
C.不变
D.不定
8.设微分环节的频率特性为
,当频率ω从0变化至∞时,其极坐标平面上的奈氏曲线是( )
A.正虚轴
B.负虚轴
C.正实轴
D.负实轴
9.在奈氏判据中,若F(s)在F(s)平面上的轨迹顺时针包围原点两次,则N的值为( )
A.-2
B.-1
C.1
D.2
10.设某系统的传递函数
,则其频率特性
的实部
=( )
A.
B.
C.
D.
11.绘制根轨迹时需计算入射角的情况为:开环传递函数有( )
A.实极点
B.实零点
C.共轭复极点
D.共轭复零点
12.若劳斯阵列表中第一列的系数为(3,1,ε,2-
,12)T,则此系统的稳定性为( )
A.稳定
B.临界稳定
C.不稳定
D.无法判断
13.设惯性环节的频率特性为
,当频率ω从0变化至∞时,则其幅相频率特性曲线是一个半圆,位于极坐标平面的( )
A.第一象限
B.第二象限
C.第三象限
D.第四象限
14.开环传递函数为
的根轨迹的弯曲部分轨迹是( )
A.半圆
B.整圆
C.抛物线
D.不规则曲线
15.开环传递函数为
,其根轨迹渐近线与实轴的交点为( )
A.-5/3
B.-3/5
C.3/5
D.5/3
二、填空题(本大题共10小题,每小题1分,共10分)
请在每小题的空格中填上正确答案.错填、不填均无分.
16.超前校正装置的主要作用是在中频段产生足够大的_____________,以补偿原系统过大的滞后相角.
17.引入附加零点,可以改善系统的_____________性能.
18.如果实轴上某一段右边的开环实数零点、极点总个数为_____________,则这一段就是根轨迹的一部分.
19.在频域中,通常用相位裕量和增益裕量表示系统的_____________.
20.若系统特征方程的某一项系数为负,则此系统一定_____________.
21.迟延环节的相频特性曲线
,当ω→∞时,
→_____________.
22.一阶系统
的单位脉冲响应为_____________.
23.单位抛物线函数的数学表达式为_____________.
24.利用_____________公式可以根据复杂的信号流图直接求出系统总的传递函数.
25.单位阶跃函数1(t)的拉氏变换为_____________.
三、名词解释题(本大题共4小题,每小题3分,共12分)
26.对数坐标图(Bode图)
27.混合节点
28.校正装置
29.扰动
四、简答题(本大题共4小题,每小题5分,共20分)
30.已知s平面上的根轨迹,如何根据要求的阻尼系数ζ(如ζ=0.5)确定闭环主导极点?
31.试绘制衰减振荡过程的单位阶跃响应曲线,并在曲线上标示系统动态和稳态性能指标.
32.控制系统的方框图有哪些基本连接方式?
33.试以淋浴水温调节为例说明控制系统的工作原理.
五、计算题(本大题共3小题,第34小题8分,第35、36小题10分,共28分)
34.设系统的状态空间描述为

试求系统的传统函数.
35.一单位反馈控制系统的开环传递函数为
,试求
(1)系统的ζ及ωn;
(2)最大超调量
及上升时间tr和调整时间
式中y为系统的输出变量,x为系统的输入变量.设x=20·1(t),初始条件为y(0)=5,
求出系统的输出y(t).
